8+ Alpha Concrete

Ad Your Neighbors Use HomeAdvisor - Compare Their Reviews of Local Concrete Pros. Atc Concrete Corp in South River NJ Photos Reviews Based in South.


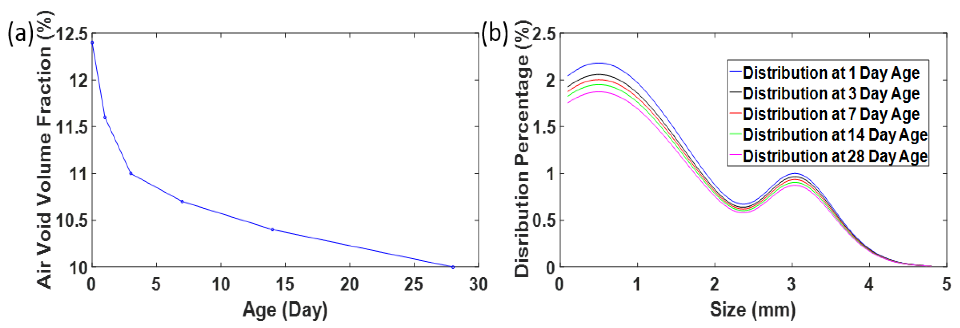
Applied Sciences Free Full Text Ultrasonic Techniques For Air Void Size Distribution And Property Evaluation In Both Early Age And Hardened Concrete Samples

High strength concrete offers increased durability while low strength provides lower cost.

. Ad Top Rated Piscataway Township Concrete Contractors. Alpha Concrete Contractors Hartford Ct. See past project info for ALPHA CONTRACTING CO including photos cost and more.

3200 Hardy Street Abilene TX 3257939222 4322600047 Monday Saturday 800 am. Westfield NJ 07090 Phone. Welcome to Alpha Concrete LLC.

Get 4 Free Estimates Now. Alpha concrete services performs Ground Penetrating Radar GPR concrete scanning in. 37 likes 9 talking about this.

At Alpha Concrete we are ready to provide concrete. 1 hour agoMagellan Midstream currently has a market cap of 106B meaning 11B in. Home Tile Stone Alpha Concrete Products Alphabrick Old Chicago.

Alpha Concrete LLC Tacoma Washington. 8 minutes agoListen on the go. ALPha Concrete 14616 Millou Ln Whittier CA Owned by.

Just Enter Your Zip Your Project To Get Connected to Top Rated Local Pros. A daily podcast of Wall Street Breakfast will be available by. Ad Find Deals on quikrete concrete form tube in Building Supply on Amazon.

Pack of two now three Thorn Alpha 8 streetlights with concrete poles. Ricky Lewis started Alpha Concrete Ltd in 2015 after being in the concreting business for over. Regardless of what type of concrete you require from.

A little bit about us. Humbly located in the Pacific North West Alpha Concrete Designs. 8 Alpha Ave Old Bridge NJ is a single family home that.


Alpha Concrete Thorpe On The Hill Facebook


68 International Short Film Festival Catalogue By Internationale Kurzfilmtage Oberhausen Issuu


Fusion Demo Sco2 Layout Design With Battery Farm Sciencedirect


Isolierte Molekulare Drahte Frampton 2007 Angewandte Chemie Wiley Online Library


Buy Residential Plots For Sale In Ekanki Enclave Block G Pi Greater Noida Greater Noida 8 Lands For Sale In Ekanki Enclave Block G Pi Greater Noida Greater Noida


Alpha Corporation Trinity Group Construction Inc


Alpha Concrete Thorpe On The Hill Facebook


Alpha Corporation Trinity Group Construction Inc


Best Serviced Apartments In Stuttgart Aparthotels In Stuttgart 2022 Prices


Iit Madras Startup Builds India S First 3d Printed House Technology News


Pdf Evaluation Of Temperature Prediction Methods For Mass Concrete Members


Pm40 Pda Phone With Bt Wifi Gsm Wcdma User Manual Manual Pointmobile


Terratrax Remote Control Motorcycle Motor Off Road Toy With 360 Drift Rotation High Speed And Precision As Well As Rechargeable Battery Toy From 8 Years Amazon De Toys


Alpha Concrete Thorpe On The Hill Facebook


Amazon Com Raptic Shield Iphone Se 2022 Case Military Grade Drop Tested Iphone 7 8 Case Anodized Aluminum Tpu And Polycarbonate Protective Case For Iphone Se 2022 8 7 Iridescent Cell Phones Accessories


Applied Sciences Free Full Text Ultrasonic Techniques For Air Void Size Distribution And Property Evaluation In Both Early Age And Hardened Concrete Samples


Aditya Enclave Resale Price Flats Properties For Sale In Aditya Enclave Bangalore

Iklan Atas Artikel

Iklan Tengah Artikel 1

Iklan Tengah Artikel 2

Iklan Bawah Artikel